Xã hội

Bắc Ninh: Danh sách 329 trường hợp xe Ô TÔ vi phạm bị phạt nguội từ ngày 30/11 - 07/12/2025

09/12/2025 13:57

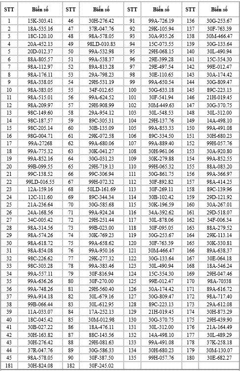
(BNP) - Theo thống kê từ hệ thống camera giám sát giao thông trên địa bàn tỉnh Bắc Ninh, từ ngày 30/11/2025 đến 07/12/2025, ghi nhận 329 trường hợp xe ô tô vi phạm bị phạt nguội.


 

* 41 trường hợp ô tô không chấp hành hiệu lệnh của đèn tín hiệu giao thông:


 

* 71 trường hợp ô tô không chấp hành hiệu lệnh, chỉ dẫn của vạch kẻ đường:


 

* 182 trường hợp ô tô điều khiển xe chạy quá tốc độ quy định:


 

* 22 trường hợp ô tô rẽ trái tại nơi có biển cấm:


 

* 12 trường hợp ô tô dừng xe dưới gầm cầu vượt:


 

* 01 trường hợp quay đầu xe ở phần đường dành cho người đi bộ qua đường: 30L-383.06.

Thông tin tra cứu trên website chính thức của Cục Cảnh sát Giao thông: https://www.csgt.vn/tra-cuu-phuong-tien-vi-pham.html

Các chủ phương tiện có tên trong danh sách chủ động liên hệ Phòng CSGT Công an tỉnh Bắc Ninh hoặc các đội CSGT phụ trách địa bàn để giải quyết vi phạm theo đúng quy định. Các trường hợp cố tình chậm trễ sẽ bị xử lý nghiêm theo luật định./.

BNP